ARTÍCULO ORIGINAL
La interacción colaborativa de niños preescolares en la resolución de problemas en un Ambiente Virtual Colaborativo
The collaborative interactions of preschool children in solving problems in a collaborative virtual environment
Cristina Paniagua-Esquivel 1 * y Amaryllis Quirós-Ramírez 2
1 Sección de educación, Universidad de Costa Rica, Costa Rica.
2 Escuela de Psicología, Universidad de Costa Rica, Costa Rica.
* Correspondencia: cristina.paniagua@ucr.ac.cr
Recibido: 08 de agosto de 2019
Revisado: 19 de septiembre de 2019
Aceptado: 20 de noviembre de 2019
Publicado Online: 01 de enero de 2020
CITARLO COMO:
Paniagua-Esquivel, C. & Quirós-Ramírez, A. (2020). La interacción colaborativa de niños preescolares en la resolución de problemas en un Ambiente Virtual Colaborativo. Interacciones, 6(1), e196. doi: 10.24016/2020.v6n1.196
RESUMEN
Antecedentes: Poder entender a los otros, sus intenciones, sus acciones y poder responder de acuerdo con estas, requiere una serie de habilidades complejas. Estas comienzan a desarrollarse alrededor de los cuatro años y son clave para la interacción entre pares. El objetivo del presente proyecto fue analizar la interacción colaborativa de niños en edad preescolar, presente cuando juegan en un ambiente virtual colaborativo. Método: Los participantes fueron siete tríadas (21 estudiantes) del nivel de transición (10 niñas y 11 niños. M = 6 años, 3 meses, DE = 0.38); se utilizó un videojuego diseñado para que los participantes jueguen en diada, coordinándose y negociando para poder avanzar. Resultados: Dentro los principales resultados destacan que existe una asociación entre verbalizaciones y cambios en la gestualidad que les permite resolver problemas de manera colaborativa. A pesar de que no es un estudio de desarrollo evolutivo, es un aporte para entender una habilidad que implica un nivel de desarrollo cognitivo: cuándo es el momento en que los niños pueden comenzar a colaborar. Conclusión: Las interacciones requeridas para llegar a una meta común son complejas, y tríadas de niños en edad preescolar negocian y se coordinan para lograrlo. Destaca el role de líder y las verbalizaciones como factores para alcanzar esta meta común, acompañados por comunicación no verbal.
PALABRAS CLAVE
Observación; desarrollo; colaboración; niños en edad preescolar; interacción social.ABSTRACT
Background: When trying to understand others, it requires a series of complex skills. Meaning able to comprehend what one’s intentions or actions are and then responding accordingly. As a result, these skills begin to develop at around the age of four and are key to peer interaction. The objective of the study was to analyze the interaction of preschool children had among each other, when they play in a virtual collaborative environment. Method: The participants were seven triads (21 students) of the transition level (11 children, M = 6 years, 3 months, SD = 0.38) and a videogame designed for the participants to play in dyads, coordinating and negotiating to move forward. Results: Within the main results, it stood out that there is an association between verbalizations and changes in gestures. This allows children to solve problems collaboratively. Although it is not a study of evolutionary development, it is a contribution to understanding a skill that implies a level of cognitive development: thus, understanding when is the time when children can begin to collaborate. Conclusions: When observing interactions, it can seem difficult to achieve a common goal. Yet the results of the study show that the children are capable of understanding not only their own perspective but also of others. As a result, this allows them to resolve collaborative tasks, similar to the one presented in the study.
KEY WORDS
Observation; development; collaboration; preschool children; social interaction.
INTRODUCCIÓN
La cognición humana es compleja y su desarrollo requiere diversas habilidades tales como entender a los otros (Liszkowski, 2011). Estos procesos inician su desarrollo entre los nueve y 12 meses y se fortalecen en ciertas etapas del desarrollo, como la preescolar. Según el Ministerio de Educación Pública (MEP, 2017) es de los cuatro a los seis años de edad; además, algunos autores han indicado que uno de los momentos fundamentales en el desarrollo es alrededor de los 4.5 años (Padilla-Mora, Cerdas, Rodríguez & Fornaguera, 2009; Tomasello, Carpenter, Call, Behne & Mol, 2005). En este proceso es especialmente relevante la interacción de los niños con sus pares, ya que permite el desarrollo de habilidades tanto sociales como cognitivas (Mendoza y López, 2004; Nilsen & Valcke, 2018). Particularmente, en este artículo, el interés se centra en la interacción social en espacios educativos y su relación con el desarrollo cognitivo y el aprendizaje.
En Costa Rica, los contextos educativos están cambiando debido a la integración de las Tecnologías de la Información y la Comunicación (TIC) en la cotidianeidad. Si bien han existido perspectivas según las cuales los programas y los juegos existentes no siempre promueven las destrezas comunicativas (Calderón, Padilla, & Fornaguera, 2013), es destacable que buscan mejorar el aprendizaje y potenciar las habilidades intelectuales (Calderón et al., 2013; Programa Estado de la Nación, 2015; Zúñiga y Brenes, 2009). Como aporte sustancial a este objetivo, se propone el uso de un ambiente virtual colaborativo (AVC), definido como un espacio virtual, generado por computadora, que recrea un escenario social en donde dos o más jugadores interactúan para lograr una meta común (Paniagua, 2016).
En este proyecto, se usó un AVC en formato videojuego, ya que estos son herramientas que pueden mejorar habilidades cognitivas relacionadas con la resolución de problemas, como la atención, la memoria y el control inhibitorio (Blumberg y Altschuler, 2011; Granic, Lobel, & Engels, 2013). Asimismo, se ha encontrado que pueden fomentar y aumentar conductas sociales entre jugadores (Granic et al., 2013; Greitemeyer, Osswald, & Brauer, 2010; Virla, Tselios, & Komis, 2015), por lo que se les considera mediadores de procesos como la colaboración y cooperación (González, 2010). Los videojuegos presentan retos que potencian habilidades cognitivas, necesarias para interactuar con otras personas y para el trabajo en equipo.
A pesar de que existen videojuegos colaborativos en los que la meta común solo puede alcanzarse mediante la interacción entre individuos (González, 2010), faltan estudios que analicen a profundidad cómo estos fomentan o motivan la interacción (Granic, et al., 2013; Paniagua, 2016).
La investigación se realizó con triadas de niños y niñas de educación preescolar. El hecho de que fueran tríadas y no díadas, modifica la dinámica de los jugadores, al requerir una mayor demanda comunicativa. El rol de la tercera persona es importante, porque es un mediador entre dos posiciones lo que implica una mayor demanda comunicativa y más alto nivel de desarrollo cognitivo (Paniagua, 2016). Actualmente, existen investigaciones en diadas, pero se ha reportado que se requiere del estudio de otras conformaciones, en especial para estudiar la forma cómo se coordinan y se mantienen estables, ya que los estudios que las han comparado, han encontrado diferencias en este aspecto (Verhagen, 2014).
Interacción social y colaboración
Para determinar cómo se resuelve un problema en un contexto colaborativo, se debe estudiar el intercambio grupal, el aporte de cada participante y cómo el éxito en la realización de una tarea requiere que el grupo entienda la relevancia del aporte de todos, compartiendo y discutiendo puntos de vista (Zañartu, 2003), organizando y tomando decisiones. Esta interacción social implica un intercambio de información entre participantes que se asumen como seres capaces de dar-recibir información de un interlocutor que recibe, interpreta y da respuesta a mensajes (Tomasello, 2008). Adicionalmente, esta interacción se da en el contexto de una meta compartida, que es identificada como tal por los participantes (Tomasello et al., 2005). Estudios previos, como el de Bailenson & Yee (2008), McCall, Bailenson, Blascovich & Beall (2009), Curtis y Lawson (2001) y Scott, Mandryk & Inkpen (2002, 2003), encontraron un alto compromiso en la interacción por parte de los usuarios, principalmente en ambientes en que los participantes interactuaban de manera presencial.
Se han realizado estudios en niños de edad preescolar que caracterizan la colaboración como una forma de resolver problemas asociada a habilidades cognitivas como las funciones ejecutivas y la teoría de la mente. Sills, Rowsw, & Emerson (2016), analizaron estudios sobre la relación entre la interacción colaborativa y el desarrollo cognitivo en preescolar. Encontraron como punto común en los estudios que este tipo de interacción es beneficiosa para el desarrollo de los niños, en especial cuando hay diferencias en las habilidades. Este resultado se asemeja al de Liu et al. (2016), quienes encontraron que niños entre tres y 11 años de edad aumentaron sus conductas altruistas en espacios compartidos, y al de Fawcett & Garton (2005), que reporta una mejora en las habilidades de resolución de problemas en niños entre seis y siete años de edad, cuando resuelven problemas de manera colaborativa con niños que tienen más conocimientos.
Otros resultados han destacado que las verbalizaciones son un factor muy importante para la colaboración. Wu & Su (2014) encontraron que, en niños de 2 a 3 años, solo se compartía cuando había una solicitud verbal; en los niños de cuatro años, esto era importante pero también se hacían inferencias de los estados mentales de otros, haciendo énfasis en la relevancia de la teoría de la mente en la colaboración. Virla et al. (2015) destacan que un alto nivel de discusión de ideas y pensamientos, incluidas las categorías de ayuda, retroalimentación y ofrecimientos de ayuda/información, son importantes para la resolución de problemas colaborativos. Siguiendo con este tipo de resolución de problemas, en los estudios de Fawcett & Garton (2005) y Warneken, Steinwender, Hamann, & Tomasello (2014), la verbalización de acciones en niños les permite planificar acciones para resolver la tarea común, aumentando la posibilidad de llegar a la solución correcta.
González-Gonzáles, Toledo-Delgado, Collazos-Ordoñez, & González-Sánchez (2014), diseñaron un videojuego y desarrollaron una serie categorías que incluían cooperación y competencia, y encontraron una alta cantidad de conductas cooperativas, que integraban el darse consejos y ayudarse en situaciones complicadas. Al respecto, el manual de Grau & Whitebread (2012) indica que, en una tarea compartida, se invierte un alto porcentaje de tiempo en regularse con respecto a aspectos de la tarea y a la organización de las acciones. También se reporta una relación entre involucrarse en conversaciones relacionadas con aspectos de la tarea y la auto-regulación, especialmente, en la regulación de la actividad conjunta. Finalmente, Evans, Feenstra, Ryon, & McNeill (2011) crearon categorías de análisis verbales, gestuales y posturales, en escenarios basados en computadora, reportan un nivel alto de colaboración en resolución de problemas en niños entre 7 y 8 años de edad, relacionado con discusión y articulación de ideas, pero una comunicación gestual más baja.
Por otro lado, existe colaboración cuando hay una situación en la que dos o más personas requieren interacción social (el aporte de todos) para poder resolver una tarea común (Sancho, 2010; Zañartu, 2003). La colaboración implica coordinación, negociación, y un espacio común en donde ambas se puedan desarrollar. Este entorno puede ser físico o virtual (Paniagua, 2016; Tromp, 2001). Un aspecto importante en relación con el espacio físico es que implica no solo estar en él, sino poder usarlo y tener la posibilidad de cambiar de posición (si se trata de un entorno físico) para hacer énfasis en las verbalizaciones y en los gestos. En el caso del entorno virtual se hace necesario el uso de objetos presentes en el espacio; cambiar de postura física es un mensaje al otro, haciendo énfasis en temáticas y diferencia en las relaciones (Tromp, 2001).
Adicionalmente, existe una serie de comportamientos que son considerados colaborativos, estos se dividen en gestos y verbalizaciones. Es importante destacar que se considera ambos como inseparables y que, dentro de la comunicación, los gestos dan sentido al lenguaje verbal (Evans et al., 2011), además, estos tienen como objetivo dirigir la atención del otro, complementar e incluso sustituir el lenguaje verbal, pese a ser actos comunicativos en sí mismos (Tomasello, 2008). Para el presente artículo, se consideran principalmente tres:
El segundo grupo de comportamientos relacionados con la colaboración son las verbalizaciones cuyo principal elemento es la negociación, la cual se da cuando hay que tomar decisiones mediante al análisis de las propuestas de otros (González-Gonzáles et al., 2014), y cuando se intercambia información que tiene como objetivo tener consentimientos y acuerdos (Zañartu, 2003). Negociar implica, por lo tanto, discutir y tomar decisiones (González-Gonzáles et al., 2014).
Enlazada con la negociación se encuentra la coordinación, la cual se da mediante una serie de mecanismos en que se organiza el trabajo de cada quien (González-Gonzáles et al., 2014). Es fundamental para llegar a la meta y se da cuando los participantes regulan de manera adecuada tanto sus actividades como las de los otros. Ambos procesos requieren de distintas intenciones en las verbalizaciones:
Como se presentó anteriormente, existe una serie de estudios que han analizado diadas que utilizan la colaboración para resolver un problema, tanto en ambientes presenciales como mediados por una computadora. Sin embargo, no se encontraron antecedentes que se centren en el análisis de interacción en triadas, las cuales implican un alto nivel habilidades cognitivas.
La presente investigación plantea analizar la interacción colaborativa en tríadas de niños en edad preescolar, presente cuando juegan en un ambiente virtual colaborativo, por medio de categorías verbales, gestuales y posturales. Se realizó con un videojuego de naves espaciales (ver sección “la tarea colaborativa”), que requiere de la coordinación de los tres participantes para llegar a la meta común.
MÉTODO
Participantes
El presente es un estudio observacional sistematizado. Antes de iniciar, se realizaron reuniones con tutores legales de niñas y niños de dos jardines de niños. Como criterios de inclusión/exclusión, se solicitó que no estuvieran diagnosticados con ningún trastorno del lenguaje ni de desarrollo. El muestreo fue a conveniencia, aunque las 8 tríadas iniciales se conformaron de manera aleatoria. Debido a problemas de la comprensión de la tarea, una tríada fue eliminada, por lo que la muestra final fue de siete tríadas (21 estudiantes, 11 niños y 10 niñas) del nivel de transición entre los 5 años, 9 meses y los 6 años, 11 meses (M = 6 años, 3 meses, DE = 0.38). La distribución de las triadas fue la siguiente:
La tarea colaborativa
Se usó un juego llamado “Sistema Solar”, diseñado para niños de preescolar con el fin de facilitar la colaboración entre ellos. En este juego hay tres naves (cada una controlada por un jugador) que viajan a través de siete niveles de dificultad; cada uno representa el camino de un planeta a otro. Para lograr llegar al planeta destino, las tres naves deben coordinar sus movimientos de forma tal que les permita ayudarse e ir a un ritmo similar; de lo contrario, el nivel se reinicia (Ver material suplementario 1). Esto significa que no deben ir muy rápido ni quedarse muy atrás, y decidir cuáles serán las acciones (y quién las ejecutará) que se requieren para que todos lleguen a la meta. El juego fue programado con el Software libre Blender (https://www.blender.org/). El primer nivel es de entrenamiento, diseñado únicamente para que los participantes aprendan las reglas básicas del juego (ver material suplementario 1a). Es importante destacar que, en este juego, la diferencia en los niveles refiere al grado de dificultad ascendente en el desempeño al jugar: conforme avanzan los niveles, aumenta la cantidad de obstáculos y la necesidad de los otros niños que participan para poder avanzar. Los obstáculos pueden ser paredes, piedras/gradas que deben saltar o espacios en los que los participantes pueden caer, si no esperan a que otro jugador active un puente (ver material suplementario 1b).
Procedimiento
A cada tríada se le solicitó que eligiera una interfaz (un participante usaba un control de juego tipo joypad y los otros dos utilizaban el teclado (el mismo teclado, tres teclas cada uno). Un video inicial les explicó que hay tres naves, que viajan desde el planeta Tierra y que van a conocer los planetas del Sistema Solar. Además, se les indicó que deben llegar juntos a la meta.
Se filmó a los jugadores desde un ángulo superior, que permitió ver todas las dinámicas de la triada. También se grabó lo que sucedía en la pantalla, para conocer cómo se relacionaban las acciones de cada jugador con sus comportamientos. Durante las sesiones hubo dos evaluadores, que se encargaban de observar a los participantes. No había límite de tiempo; la duración promedio fue de 25:43 min.
La unidad de análisis fueron las interacciones de las triadas durante los niveles, y como esta les permitió llegar hasta el final. Cada vídeo se dividió en siete: el principio es el momento en que se inicia cada nivel y finaliza, cuando llegan a la meta de ese nivel. Esto se realizó para hacer un microanálisis de los comportamientos dados y detallar la relación entre estos. A partir de una observación previa (Paniagua, 2016; Paniagua-Esquivel & Cubero-Morera, 2018) e insumos teóricos, se diseñó un manual de categorías para calificar patrones de interacción, junto con un instrumento de codificación de categorías, divididas en ejes: Gestual-ejecutiva y Verbal (ver tabla 1). La tercera categoría, que es interacción con evaluador, no tuvo influencia en la interacción colaborativa.

Las categorías se aplicaron al comportamiento de cada individuo, cuando se presentaban en la dinámica relacional. Por ejemplo, los gestos aprobatorios se contaban cuando había una acción previa, que ameritaba una retroalimentación. Se codificó tanto la frecuencia como la duración de cada categoría. Para codificar, se utilizó el software Datavyu (Datavyu Team, 2014), que permite visualizar y codificar comportamientos en los videos en tiempo real. Para el análisis, se eligió el Analizador secuencial de propósito general (GSEQ por sus siglas en inglés), un software especializado para analizar datos observacionales secuenciales (Bakeman & Quera, 1995).
Como se mencionó anteriormente, cada video se dividió en siete segmentos, para un total de 49. Tres se eliminaron por problemas técnicos y 11 fueron utilizados para validar las categorías con jueces expertos. Como criterio estadístico, se utilizaron el Kappa de Cohen (k) y el porcentaje de acuerdo o confiabilidad inter-observador, para establecer el porcentaje de acuerdo y validar las categorías (ver Paniagua, 2016). Al final, se analizaron 35 segmentos de videos.
Aspectos éticos
Antes de iniciar, se realizaron reuniones con los tutores legales de niñas y niños de dos jardines de niños. En esta reunión se les explicó el proyecto y los interesados firmaron un consentimiento informado, aprobado por el Comité Ético Científico de la Universidad de Costa Rica.
RESULTADOS
Los resultados de la investigación se basan en el análisis de diferentes categorías que permiten rectificar la presencia de ciertos patrones interactivos como desempeño en resolución de la tarea colaborativa en cada escenario del video juego que jugaban los niños. Estos fueron: la duración por escenario, las frecuencias y duración y, finalmente, la asociación entre categorías. Con respecto a la duración, se promediaron los tiempos de cada escenario (ver figura 1).

Según se puede observar, el desempeño de la triada en el primer nivel fue el que tuvo mayor duración promedio (el nivel de práctica), seguido por el segundo. Los niveles centrales tuvieron una duración promedio similar y se da un aumento en el último nivel, que es el más difícil.
Posterior a este análisis inicial, se procedió a examinar en secuencias dentro de los segmentos de video, para generar las frecuencias y duración de cada categoría. Las categorías que se presentaron con más frecuencia, fueron guía (214 veces), seguida por mirada (98 veces) y acercamiento a la pantalla (93 veces). Las menos frecuentes fueron pedir ayuda (4 veces) y celebración (6 veces).
Con respecto a la duración, la conducta denominada como Guía presenta un total de 303s (5,05 min) y la de acercamiento a la pantalla, una duración de 286s (4,77 min). Esto significa que, dentro de la duración total, algunos jugadores participantes en las triadas dedicaron un tiempo mayor en guiar a otros compañeros durante el juego, así como en interacción con la pantalla.
Debido a la diferencia en los tiempos de cada video, para analizar la cantidad de comportamientos por escenario, se utilizó tasa de categorías por minuto en lugar de frecuencia. Esto, junto con la duración de los escenarios, permitió buscar una relación entre el escenario (por lo tanto, nivel de dificultad) y la cantidad/duración de comportamientos (ver material suplementario 2).
Tanto el escenario dos como el siete, recibieron una alta tasa de presencia de gestos y el escenario tres, tuvo un alto nivel de uso de espacio físico. El escenario dos presentó una tasa de mirada de 0.42 y de señalamiento de 0.32, mientras que el escenario siete tuvo una tasa de gestos de desaprobación de 0.24. El escenario tres obtuvo tasas de 0.51 de acercamiento a pantalla y 0.25 en acercamiento a compañero. Este escenario, es el que tuyo una mayor tasa de verbalizaciones, con 0.79 en total de la categoría planeamiento en conjunto: 0.25 en monitoreo grupal, 0.18 en auto monitoreo y 0.05 en pedir retroalimentación, rectificación y propuesta de acción. El escenario cuatro también tuvo alta tasa de verbalizaciones, pero en la categoría ayuda, con 1.52 en total: 1.01 en guía, 0.30 en pedir ayuda y 0.06 en iniciativa de ayuda.
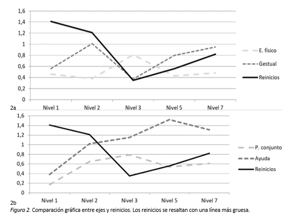
Los reinicios se consideran importantes porque manifiestan un fallo o error en la coordinación entre los miembros de la triada, lo que se asocia con un fallo en la resolución de la tarea. Los principales resultados se resumen en la figura 2. En la figura 2a están los totales de las categorías Espacio físico (E. físico) y Gestual y en 2b, los totales de Planificación en conjunto y ayuda. En ambos casos, se presenta una alta cantidad de reinicios en el primer nivel, la cual disminuye hacia el tercer nivel (el que tiene la duración más baja) y luego aumentan ligeramente.

El último parámetro utilizado para analizar los datos es la asociación entre categorías. Por ser datos nominales, se utilizó tres medidas estadísticas no paramétricas: el chi cuadrado (χ2), Coeficiente de Yule (también Q de Yule) y Razón de Momio (Odds ratio en inglés). El χ2 tiene como (H0), que la presencia de una categoría es independiente a la presencia de otra. La Q de Yule, la cual, permite entender la relación entre dos variables. Si el puntaje va de 0 a .24, se plantea que no hay relación. De .25 a .49 es débil, de .50 a .74 moderada y entre .75 y 1, fuerte. Finalmente, Odds ratio, mide la probabilidad de aparición de un comportamiento ante otro. Va de 0 a infinito y, si el valor es de 1, no hay efecto. Mayor a 1 indica que es más probable la aparición de un comportamiento ante otro, que su ausencia y, menor a 1, que es más probable la ausencia. Adicionalmente, puntajes entre 1.25 y 2, remiten a una asociación débil; 2 a 3 moderada y > 3, positiva. (Bakeman & Quera, 2011; Paniagua, 2016).
Las tablas 2, 3, 4, 5 y 6 resumen las relaciones entre las subcategorías Gestual-Espacio físico, Gestual-Ayuda, Gestual-Planeamiento en conjunto, Espacio físico-Ayuda y Espacio físico-Planeamiento en conjunto. Se presentan estas subcategorías, porque son las que tienen relaciones significativas entre ellas.

En esta tabla, se muestra que mirada tiene una alta ocurrencia junto con Alejamiento (χ2=137.97, OR=26.33, Q=.93) y, en menor medida, con acercamiento (χ2=8.66, OR=4.05, Q=.60) y. el Q de Yule indica que aparecen en presencia la una de la otra. El comportamiento Señalamiento se presenta asociado a dos tipos de acercamiento: al compañero (χ2=170.47, OR=18.18, Q=.90) y a la pantalla (χ2=25.06, OR=5.28, Q=.68), aunque lo hace con más fuerza cuando el acercamiento es hacia el compañero de juego. Las categorías modelado y acercamiento al compañero tienen la relación más fuerte (χ2=178, OR=54.23, Q=.96) y, finalmente, las categorías sorpresa y acercamiento a la pantalla (χ2=18.96, OR=9.15, Q=.80) /alejamiento (χ2=14.20, OR=17.04, Q=.89) tienen una relación alta también.

Las categorías modelado e iniciativa de ayuda tienen una relación muy alta (χ2=676.17, OR=344.05, Q=.99) y hay alta posibilidad alta de que se presenten juntas. Además, modelado se relaciona con pedir ayuda (χ2=19.14, OR=22.67, Q=.92) y Dar respuesta (χ2=35.95, OR=41.49, Q=.95). Seguido de esto, hay una relación entre hacer una petición de ayuda y la existencia de una respuesta de aprobación (χ2=37.85, OR=45.36, Q=.96). señalamiento y guía están relacionados (χ2=154.94, OR=12.84, Q=.86), así como señalamiento y pedir ayuda (χ2=9.27, OR=6.75, Q=.74). Finalmente, la respuesta de desaprobación se da ante solicitudes de información (χ2=6.13, OR=8.27, Q=.78).

Dar retroalimentación verbal se presenta con frecuencia asociado a formas de retroalimentación no verbal: aprobación (χ2=24.62, OR=30.01, Q=.94), Desaprobación (χ2=145.18, OR=31.29, Q=.94) y señalamiento (χ2=27.07, OR=9.28, Q=.91). Este último tiene altas relaciones con monitoreo de los procesos grupales (χ2=83.97, OR=18.21, Q=.90), pedir retroalimentación (χ2=,125.25 OR=59.19, Q=.97) y el llamar la atención de otros (χ2=12.64, OR=15.8, Q=.88). La categoría mirada también tiene asociación con dos categorías verbales: pedir retroalimentación (χ2=10.43, OR=13.39, Q=,86) y el monitoreo grupal (χ2=14.68, OR=7.11, Q=.75).

Acercarse al compañero se relaciona con mucha fuerza con las categorías de ayuda responder (χ2=11.52, OR=14.10, Q=.87), pedir información (χ2=7.97, OR=6.06, Q=.72), pedir ayuda (χ2=15.75, OR=7.54, Q=.77) y dar guía (χ2=31.83, OR=5.04, Q=.67). El acercarse a la pantalla se presenta cuando se solicita información (χ2=8.60, OR=4.90, Q=.66).

Nuevamente, acercarse al compañero se relaciona con una categoría verbal, particularmente, con pedir retroalimentación (χ2=90.07, OR=42.81, Q=.95), con el monitoreo grupal (χ2=11.97, OR=6.10, Q=.72) y el automonitoreo (χ2=24.03, OR=8.46, Q=.79). Hay una posibilidad alta de que esta última se presente en conjunto con el acercamiento a la pantalla (χ2=23.50, OR=16.73, Q=.89).
DISCUSIÓN
El objetivo del presente estudio es analizar la interacción colaborativa de niños en edad preescolar, presente cuando juegan en un ambiente virtual colaborativo- Desde autores como Vygotski, se ha argumentado la existencia de constructos sociales (como la Zonda de desarrollo próxima), que explican que la que la interacción colaborativa permite el aprendizaje y el desarrollo cognitivo (Labarrere, 2016). Uno de los principales resultados es un cambio en los tiempos de resolución en los escenarios, ya que disminuyó conforme se aumentaba la cantidad de interacción. Al unir este dato con los reinicios, se encuentra una relación entre ambos: en escenarios con tiempos de resolución cortos, se presenta una baja cantidad de reinicios y una alta cantidad de verbalizaciones (ver Figura 1). Esto parece indicar que las verbalizaciones (negociación) permiten que haya coordinación. El aumento en reinicios y en la duración en los últimos escenarios tiene sentido por el nivel de dificultad ascendente, debido a que ponerse de acuerdo cuando hay más obstáculos es más complejo. También es esperable que en el primer escenario haya más fallos o errores en la coordinación (reflejado en reinicios y tiempo de resolución). Blumberg (2011), Castellaro & Roselli (2012) y Paniagua (2016) explican que, en la resolución colaborativa, hay variación en la estrategia, presentando al inicio una fase de ensayo-error individual y un aumento en la planificación en conjunto.
Los datos generales de las categorías indican que los gestos y el manejo del espacio físico no son un aporte significativo a la resolución exitosa de la tarea conjunta de la triada. Pero, las verbalizaciones tienen un patrón más claro, ya que, ante el aumento de la cantidad y la extensión de las verbalizaciones, se disminuye la cantidad de reinicios. Esto coincide con lo que plantean Evans et al. (2011), de que aunque los gestos y las verbalizaciones son inseparables, el papel de los gestos es acompañar y darle sentido a la parte verbal.
De forma congruente con la estrategia de Castellaro y Roselli (2012), se manifiesta que los participantes incrementan el uso de las verbalizaciones con el avance en el nivel de dificultad de los escenarios, y este aumento incrementa, a la vez, la coordinación. En otras palabras, cuando los niños negocian, se coordinan mejor, lo que significa que colaboran (González-Gonzáles et al., 2014; Zañartu, 2003). Esto a su vez, coincide con lo planteado por estudios de Fawcett & Garton (2005), Virla, Tselios & Komis (2015) y Warneken et al. (2014), de la relevancia de la verbalización en niños en edad preescolar para llegar a la respuesta correcta.
Entre estas verbalizaciones destaca la categoría Guía. Esta categoría requiere que un participante oriente a otro, al darse cuenta de que éste no tiene claro qué debe hacer. Es una evaluación de la perspectiva del otro y de la situación grupal, y se describe en la literatura como explicar u orientar o compartir información (Curtis & Lawson, 2001; Fong et al., 2012; Quirós, 2002). En promedio, Guía es la categoría que presenta una duración más larga en la ejecución y también en la frecuencia de realización. Esta categoría solo presenta relación con señalamiento y el acercarse al compañero. Lo anterior sugiere que, durante el juego, en situación colaborativa los niños necesitan complementar sus orientaciones verbales con indicaciones específicas del lugar de la pantalla en donde se encuentra lo que requieren que su compañero atienda.
Otros tipos de verbalizaciones destacados en la literatura, son pedir y dar retroalimentación (Bales, 1951; Curtis & Lawson, 2001; Tromp, 2001), proponer una acción (Curtis & Lawson, 2001; Grau & Whitebread, 2012) y el monitoreo grupal (Curtis & Lawson, 2001; Tromp, 2001) e individual (Grau & Whitebread, 2012). Relacionados con ayuda, se encuentran pedir ayuda (Blumberg & Altschuler, 2011), que requiere que uno de los participantes tome consciencia de que otro tiene las respuestas necesarias, y con dar ayuda, que implica que los participantes entienden la dinámica del juego y que ellos, tal y como lo solicitan sus compañeros, pueden dar una respuesta.
En el caso de los gestos, se presentan como un apoyo a las categorías verbales. Un ejemplo es el caso de modelado, que aparece con las categorías iniciativa de ayuda (tener la iniciativa de ayudar a otro), respuesta (dar respuesta a una solicitud de ayuda) y pedir ayuda. Esto sugiere que los participantes no solo usan las verbalizaciones, sino que se la acompañan con sus gestos para poder ayudar o solicitar la ayuda del otro. Además, acercarse al compañero es un elemento importante al ayudar o pedir ayuda, lo que indica que, para ayudarse, los participantes buscan reducir las distancias.
Los gestos se relacionan entre ellos. mirada y señalamientos se destacan en el presente estudio; Scott et al. (2002, 2003) y Tromp (2001), también los rectifican como comportamientos presentados frecuentemente. Sin embargo, a diferencia de los estudios con adultos en donde los gestos son relevantes (Tromp, 2001; Tomasello, 2008; Colonnesi et al., 2010), en los niños no se presentan de forma tan importante en los niveles en que se define que hay más colaboración. Esto se podría explicar porque en esta etapa de desarrollo de los niños predomina la comunicación verbal (Bailenson & Yee, 2008).
Finalmente, las categorías que permiten determinar cuándo se da una interacción colaborativa parecen ser el planeamiento en conjunto y el espacio físico, lo que indica que cuando hay intercambios verbales para crear un plan en equipo y cuando se usa el espacio físico, como acercarse a pantalla y a sus compañeros, se marcan los momentos más relevantes en la comunicación.
CONCLUSIONES
El presente artículo se propuso analizar una serie de comportamientos asociados con la colaboración, en un ambiente virtual colaborativo, a partir de una investigación en donde tríadas de niños de preescolar debían jugar en equipo para llegar juntos a una meta común. La presencia de tres niños le significa a cada participante un reto extra a nivel cognitivo, al tener que manejar tres procesos: el propio y el de dos compañeros. Se planteó la relevancia de analizar cómo la negociación y la coordinación permiten resolver una tarea común (una meta en un juego que se realiza en equipo) de un AVC.
Dentro de los comportamientos analizados, las verbalizaciones son las que hacen un aporte más relevante en la colaboración. Los gestos y cambios de espacio físico, inicialmente no parecen ser un aporte por sí mismos, pero cuando se ve su aparición conjunta con las categorías verbales, se muestran como un apoyo relevante. Las miradas, los señalamientos y la desaprobación son los gestos que más se relacionan con una interacción colaborativa. Con respecto al manejo del espacio físico, acercarse al compañero o a la pantalla, se desatacan como relevantes para lograr exitosamente la tarea.
Es importante destacar los roles que se pueden presentar en la colaboración y cómo se reflejan en las categorías. Autores como Ng et al. (2012), Paniagua (2016) y Ruggieri et al., 2013) plantean al líder, como el más relevante dentro de la interacción colaborativa. Estos negocian, concilian y refuerza acciones de otros, por medio de un monitoreo grupal, guía y e iniciativas de ayuda. Como mediador, un participante puede dar retroalimentación y aportar a la negociación, convirtiéndose en un complemento para el líder en el proceso de dar respuesta a los demás (Ng et al, 2012; Paniagua, 2016).
A modo de cierre, la relación entre los comportamientos muestra que la interacción colaborativa es compleja. Cuando las personas tienen que entender a los otros y cómo sus acciones permiten que un grupo pueda avanzar, requieren un repertorio comunicativo (Quirós, 2002); es decir, un conjunto de expresiones verbales y no verbales que conjuntamente llevan a la coordinación mutua de la tría. Este complejo sistema de comunicación, permite llevar el mensaje a sus compañeros y que estos entiendan su lugar en el espacio compartido.
Los resultados de esta investigación sugieren que los niños en etapa preescolar son capaces de entender no solo su propia perspectiva, sino la de otros dos participantes, lo que les permite resolver una tarea colaborativa. Futuros estudios pueden ampliar estos resultados, comparándolos con otros procesos socio-cognitivos enlazados con estados mentales, como teoría de la mente, para poder entender cómo su nivel de desarrollo cognitivo se presenta en conjunto con su capacidad de entender a otros. También, profundizar en las diferencias con respecto al género en la formación de grupos y su relación con el logro de objetivos de la misión.
MATERIAL SUPLEMENTARIO
El manuscrito tiene materiales suplementarios los cuales pueden verse desde el siguiente link (http://ojs.revistainteracciones.com/index.php/ojs/article/view/196/pdf).
CONFLICTOS DE INTERÉS
Los autores no reportan tener conflictos de interés.
FINANCIAMIENTO
Este artículo deriva de un trabajo final de graduación, desarrollado en el Centro de Investigación en Neurociencias, Universidad de Costa Rica.
AGRADECIMIENTOS
Al Centro de Investigación en Neurociencias, de la Universidad de Costa Rica y a los Jardines de niños que permitieron desarrollar esta investigación.
REFERENCIAS
Bailenson, J., & Yee, N. (2008). Virtual interpersonal touch: Haptic interaction and copresence in collaborative virtual environments. Multimed Tools Appl, 37, 5-14. doi:10.1007/s11042-007-0171-2
Bakeman, R., & Quera, V. (1995). Analyzing Interaction. Sequential Analysis with SDIS and GSEQ. Cambridge: Cambridge University Press.
Bakeman, R., & Quera, V. (2011). Sequential analysis and observational methods for the behavioral sciences. Cambridge: Cambridge University Press .
Bales, R. (1951). Interaction process analysis: a method for the study of small groups. Cambridge, Massachusetts: Addison-Wesley Press, Inc.
Blumberg, F., & Altschuler, E. (2011). From the playroom to the classroom: chilndren’s views of video game play and academic learning. Child Development Perspectives, 5(2), 99-103. doi:https://doi.org/10.1111/j.1750-8606.2011.00163.x
Calderón, M., Padilla, M., & Fornaguera, J. (2013). Introducción de Tecnologías en el aula de dos preescolares públicos costarricenses: estrategias de autogestión, alcances y limitaciones. Revista actualidades investigativas en educación, 13(2), 1-23.
Castellaro, M., & Roselli, N. (2012). La Regulación Cognitiva de la Acción en una Tarea de Construcción Colaborativa con Bloques, en Díadas de Niños de Entre Ocho y Doce Años. Psicoperspectivas, 11(1), 226-251. doi:10.5027/PSICOPERSPECTIVAS-VOL11-ISSUE1-FULLTEXT-173
Colonnesi, C., Stams, G., Koster, I., & Noom, M. (2010). The relation between pointing and language development: A meta-analysis. Developmental Review, 30(4), 352-366.
Curtis, D., & Lawson, M. (2001). Exploring collaborative on-line learning. Journal of Asynchronous Learning Networks, 5(1), 21-34.
Datavyu Team. (2014). Datavyu: A Video Coding Tool. (Databrary Project, New York University) Obtenido de http://datavyu.org
Evans, M., Feenstra, E., Ryon, E., & McNeill, D. (2011). A multimodal approach to coding discourse: Collaboration, distributed cognition, and geometric reasoning. Computer-Supported Collaborative Learning, 6, 253–278. doi:10.1007/s11412-011-9113-0
Fawcett, L., & Garton, A. (2005). The effect of peer collaboration on children’s problem-solving ability. British Journal of Educational Psychology, 75, 157–169. doi:10.1348/000709904X23411
Fong, N., Mansor, W., Zakariac, M., Sharif, N., & Nordin, N. (2012). he Roles of Mentors in a Collaborative Virtual Learning Environment (CVLE) Project. Procedia – Social and Behavioral Sciences, 66, 302-311. doi:10.1016/j.sbspro.2012.11.272
González, J. (2010). Jugabilidad. Caracterización de la experiencia del jugador en Videojuegos. (Tesis de doctorado). Granada: Universidad de Granada. Obtenido de http://hera.ugr.es/tesisugr/18931200.pdf
González-Gonzáles, C., Toledo-Delgado, P., Collazos-Ordoñez, C., & González-Sánchez, J. (2014). Design and analysis of collaborative interactions in social educational videogames. Computers in Human Behavior, 31, 602-611. doi:10.1016/j.chb.2013.06.039
Granic, I., Lobel, A., & Engels, R. (2013). The Benefits of Playing Video Games. American psychologist, 69(1), 1-13. doi:10.1037/a0034857
Grau, V., & Whitebread, D. (2012). Self and social regulation of learning during collaborative activities in the classroom: The interplay of individual and group cognition. Learning and Instruction, 22, 401-412. doi:10.1016/j.learninstruc.2012.03.003
Greitemeyer, T., Osswald, S., & Brauer, M. (2010). Playing Prosocial Video Games Increases Empathy and Decreases Schadenfreude. Emotion, 10(6), 796-802. doi:10.1037/a0020194
Labarrere, A. F. (2016). Zona de desarrollo próximo como eje del desarrollo de los estudiantes: de la ayuda a la colaboración. Summa Psicológica UST, 13(1), 45-56.
Liszkowski, U. (2011). Three Lines in the Emergence of Prelinguistic Communication and Social Cognition. Journal of Cognitive Education and Psychology, 10(1), 32-43. doi:10.1891/1945–8959.10.1.32
Liu, B., Huang, Z., Xu, G., Jin, Y., Chen, Y., Li, X., . . . Jing, J. (2016). Altruistic sharing behavior in children: Role of theory of mind and inhibitory control. Journal of Experimental Child Psychology, 141, 222-228. doi:10.1016/j.jecp.2015.09.010
McCall, C., Bailenson, J., Blascovich, J., & Beall, A. (2009). Leveraging collaborative virtual environment technology for inter-population research on persuasión in a classroom setting. Presence: Teleoperators & Virtual Environments, 18(5), 361-369. doi:10.1162/pres.18.5.361.
Mendoza, E., & López, P. (2004). Consideraciones sobre el desarrollo de la teoría de la mente (ToM) y el lenguaje. Revista de Psicología General y Aplicada, 57(1), 49-68.
Ministerio de Educación Pública. (2017). Lineamientos para la implementación de los artículos 11 y 12 del Reglamento de Matrícula y Traslado de los estudiantes. San José: Ministerio de Educación Pública. Obtenido de https://www.mep.go.cr/sites/default/files/descargas_etica/dm-0030-08-2017.pdf
Nilsen, E., & Valcke, A. (2018). Children's sharing with collaborators versus competitors: The impact of theory of mind and executive functioning. Journal of Applied Developmental Psychology, 58, 38-48. doi:10.1016/j.appdev.2018.08.001
Ng, SF., WanMansor, WFA. MdSharif, N., Nordin, NA., Zakaria, MH. (2012).The Roles of Mentors in a Collaborative Virtual Learning Environment (CVLE) Project. Procedia – Social and Behavioral Sciences. 66, 302-311. doi:10.1016/j.sbspro.2012.11.272.
Padilla-Mora, M., Cerdas, A., Rodríguez, O., & Fornaguera, J. (2009). Teoría de la mente en niños preescolares: diferencias entre sexos y capacidad de memoria de trabajo. Revista Electrónica “Actualidades Investigativas en Educación”, 9(2), 1-21. Obtenido de http://revista.inie.ucr.ac.cr/index.php/aie/article/view/312/311
Paniagua, C. (2016). Patrones de interacción en niños de educación preescolar pública durante la resolución de ambientes virtuales colaborativos. (Tesis de licenciatura). Obtenido de http://hdl.handle.net/10669/27673
Paniagua-Esquivel, C., & Cubero-Morera, D. (2018). Observación de la socialización en el aula de preescolar costarricense. Investigación en la Escuela. Revista internacional de investigación e innovación escolar, 96, 16-32. doi:http://dx.doi.org/10.12795/IE.2018.i96.2
Programa Estado de la Nación. (2015). Quinto Informe Estado de la Educación. San José: Programa Estado de la Nación:. Obtenido de http://www.estadonacion.or.cr/educacion2015/
Quirós, A. (2002). Repertorios comunicativos en la constelación autista: un estudio de casos. (Tesis inédita de Licenciatura). Costa Rica: Universidad de Costa Rica.
Sancho, P. (2010). Núcleo: un sistema para el aprendizaje virtual colaborativo escenificado a través del rol muti-juego. (Tesis de doctorado). España: Universidad Complutense de Madrid. Obtenido de http://eprints.ucm.es/9823/1/T31477.pdf
Scott, S., Mandryk, R., & Inkpen, K. (2002). Understanding children's interactions in synchronous shared environments. En G. Stahl (Ed.), Conference on Computer Support for Collaborative Learning: Foundations for a CSCL Community (págs. 333-341). Colorado: International Society of the Learning Sciences.
Scott, S., Mandryk, R., & Inkpen, K. (2003). Understanding children’s collaborative interactions in shared environments. Journal of Computer Assisted Learning, 19, 220-228.
Sills, J., Rowsw, G., & Emerson, M. (2016). The role of collaboration in the cognitive development of young children: a systematic review. Child: care, health and development, 42(3), 313–324. doi:10.1111/cch.12330
Tomasello, M. (2008). Origins of human communication. Massachusetts: MIT press.
Tomasello, M., Carpenter, M., Call, J., Behne, T., & Moll, H. (2005). Understanding and sharing intentions: The origins of cultural cognition. Behavioral and Brain Sciences, 28(5), 675-691.
Tromp, J. (2001). Systematic usability design and evaluation for collaborative virtual environments. (Tesis de doctorado). Inglaterra: Universidad de Nottingham. doi:http://www.musicmonk.com/drtromp/cv/index.html#Phd
Verhagen, R. (2014). Dyad vs. Triad. A comparative case study on the quality of transferred tacit knowledge. (Tesis de doctorado). Tilburgo: Tilburg University. Obtenido de http://arno.uvt.nl/show.cgi?fid=135791
Virla, G., Tselios, N., & Komis, V. (2015). Investigating preschoolers’ problem solving strategies in computer-mediated collaborative environments. International Journal of Learning Technology, 10(1), 4-29. doi:10.1504/IJLT.2015.069452
Warneken, F., Steinwender, J., Hamann, K., & Tomasello, M. (2014). Young children’s planning in a collaborative problem-solving task. Cognitive Development, 31, 48-58. doi:10.1016/j.cogdev.2014.02.003
Wu, Z., & Su, Y. (2014). How do preschoolers’ sharing behaviors relate to their theory of mind understanding? Journal of Experimental Child Psychology, 120, 73-86. doi:10.1016/j.jecp.2013.11.007
Zañartu, L. (2003). Aprendizaje colaborativo: Una nueva forma de Diálogo Interpersonal y en Red. Contexto Educativo(28).
Zúñiga, M., & Brenes, M. (2009). Estándares de desempeño de estudiantes en el aprendizaje con tecnologías digitales. San José: Fundación Omar Dengo.